The purpose of this site is for information and a record of Gerry McCann's Blog Archives. As most people will appreciate GM deleted all past blogs from the official website. Hopefully this Archive will be helpful to anyone who is interested in Justice for Madeleine Beth McCann. Many Thanks, Pamalam

Note: This site does not belong to the McCanns. It belongs to Pamalam. If you wish to contact the McCanns directly, please use the contact/email details campaign@findmadeleine.com    

Alpha Investigations Group *

MCCANN FILES HOME BACK TO GERRY MCCANNS BLOGS HOME PAGE PHOTOGRAPHS
NEWS REPORTS INDEX MCCANN PJ FILES NEWS MAY 2007
 

Arthur Cowley and Dave Edgar
Arthur Cowley and Dave Edgar

Alpha Investigations Group (Alphaig Limited) is the company headed by former detectives Dave Edgar and Arthur Cowley which has been reportedly employed, through Madeleine's Fund, to find Madeleine.

In August 2009, Clarence Mitchell declined to say how much the private detectives were being paid, adding: 'We will not discuss contractual matters concerning the investigation costs nor the investigator remuneration.'

The abbreviated accounts for Alphaig Limited, for the period ending 30 June 2010, were signed off on 31 January 2011 and reveal surprisingly modest figures, given the official FindMadeleine.com website has stated: 'The majority of the fund money has been and continues to be spent on investigative work to help find Madeleine.'

Madeleine's Fund: What is the money being spent on ?
Madeleine's Fund: What is the money being spent on ? FindMadeleine.com

 
Madeleine's Fund screenshot

Screenshot taken 11 April 2011

- Extract -

(7) What is the money being spent on ?

The majority of the fund money has been and continues to be spent on investigative work to help find Madeleine. Additionally money continues to be spent on the wider 'Awareness Campaign' – reminding people that Madeleine is still missing and to remain vigilant. None of the directors have taken any money from the fund as remuneration.

Anyone who wishes further information with regards to the financial details of Madeleine's Fund and its professional advisors, please refer to the accounts filed at Companies House. Crown Way Maindy Cardiff CF14 3UZ

Press reports and relevant information

Domain name 'alphaig.co.uk' registered by Brian Kennedy's Latium Group, 12 January 2009
Domain name 'alphaig.co.uk' registered by Brian Kennedy's Latium Group Whois.domaintools.com

Article related to Andrew Dickman and Brian Kennedy:

Kennedy property arm secures £60m boost Manchester Evening News

Kevin Feddy
May 21, 2007

A PROPERTY business owned by Sale Sharks and Everest double glazing chain tycoon Brian Kennedy has secured a £60m funding boost for expansion.

Patrick Properties, established in 2002 by Mr Kennedy and managing director Andrew Dickman, is based in Wilmslow and specialises in developing and refurbishing office and industrial sites across the north.

It has built a portfolio worth around £80m, which includes warehousing on the Knowsley Industrial Park, a development in Glossop and sites on Broadway Business Park, Chadderton, Premier Park in Winsford, Cheshire, and Crewe Business Park.

It also owns land and property in Burnley, Carrington and Wigan.

Its tenants include Rolls-Royce, Bentley, Honda and Cheshire Police. Mr Dickman said the company would now look to acquire further properties as a result of the funding package from the Royal Bank of Scotland.

"This deal provides us with the capital to grow and develop the business, and take advantages of opportunities that exist in the north west commercial property market," he said.

10 acres

He said the market was buoyant and Patrick would seek acquisitions of sites of at least 10 acres, as well as carrying out improvements to its existing properties.

Patrick Properties is understood to be eyeing targets in Greater Manchester, Lancashire and Merseyside.

Mr Kennedy is best-known as the owner of Sale Sharks and the Everest double glazing business.

Last year, he secured the £29.2m takeover of Clitheroe-based conservatory maker Ultraframe by his Latium Holdings business, which he co-owns with business partner Stuart Lees. Mr Kennedy is the majority shareholder of the £400m-turnover business whose interests span plastics, conservatory roof manufacture, glass processing and home improvement retailing.

Matthew Jones, director of property finance at the Royal Bank of Scotland, said: "This deal puts Patrick Properties in an excellent position to continue the growth and success they have achieved during the course of the last few years."

02 May 2009: First media report naming Dave Edgar and Arthur Cowley

(various reports prior to Madeleine Was Here documentary see here)

14 May 2009: First media report naming Alpha Investigations Group

(see Daily Mirror article below)

I felt proud to be able to bring justice to family devastated by murder, 14 May 2009
I felt proud to be able to bring justice to family devastated by murder Daily Mirror (paper edition)

Ulster Maddy cop was praised for helping jail killers.

By Jilly Beattie
Thursday, 14 May 2009

THE ex-RUC man leading the hunt for Maddy McCann was awarded a judge's commendation for his work solving a brutal murder, the Daily Mirror has learned.

Dave Edgar led the investigation into the death of dad-of-four Garry Newlove.

The 47-year-old cancer survivor was kicked to death outside his Warrington home in 2007 after approaching teenagers he suspected of vandalising his car.

Mr Edgar's work ensured Adam Swellings, 19, Stephen Sorton, 17, and 16-year-old Jordan Cunliffe were convicted of the murder.

He said: "I felt very proud to be able to bring justice to a family who were devastated by a brutal and mindless murder.

"I was determined Garry's killers wouldn't get away with it and as a team we worked day and night to get a result.

"It was plain ordinary police work, nothing less, nothing more and it worked. That's the satisfaction of the job."

Experience

Now the Belfast man is leading the hunt for missing Maddy, six, and he is meticulously sifting through papers left behind by failed police and civilian investigating teams.

He says he is relying on years of training, experience and instinct to build a case in Portugal against an abductor he is convinced is local.

Mr Edgar is used to tracking down people who do not want to be discovered, including the killer of 13-year-old schoolgirl Claire Hart near Chester.

The youngster was taken in 2000 by loner Craig Smith, 20, shot with an air rifle and strangled. Mr Edgar helped convict him less than a year later.

He had been a rising star among the officers of the RUC when he chose to accept demotion eight years ago in order to take a job in an English force.

After policing in Portadown, South Armagh and Craigavon, he found himself at the heart of several successful murder investigations in Cheshire.

Mr Edgar left the RUC in 1986 as he was about to be promoted to inspector and joined the Cheshire police where he had to start in the lowest rank again and was constable for the second time in his career.

He explained: "There were no suitable ranks to apply for in Cheshire so I just started again but before too long I was made detective inspector.

"I could see the writing on the wall for the RUC and I wanted to make a move when I was young enough to build a new life somewhere else. It worked out well for me although starting at constable again wasn't much fun but it had to be done." Mr Edgar, who now runs the Alpha Investigations Group with business partner Arthur Cowley, was asked by Gerry and Kate McCann to find their daughter after failures other investigators.

Speaking from his base in Chesire, Mr Edgar told the Daily Mirror: "Sometimes you've just got to do what has to be done and when you see other people failing in a area where you have expertise, it's difficult not to get frustrated.

"In my career in the RUC and in Cheshire, I spent years following clues, uncovering information and respecting my instincts and I feel deeply that Maddy is somewhere where she can be found.

"We have a lot of work to so and this won't be easy. But I'll do my best and I have a great investigations partner who was an excellent police officer."

Former colleagues remember Mr Edgar as a quiet and determined officer in the RUC, a man who could be relied upon.

One said: "Dave was always one of those lads who wanted to do well and he had a natural talent for the job.

Modest

"He's good with people, modest, a hard worker and diligent, going over every point time and again when other people would have moved on. It was his way and it ensured that he was made sergeant. He was an excellent detective here and in England." Mr Edgar joined the police in 1978 and started his career in Portadown, making CID before finishing his probation.

Three years later he was made sergeant and moved to South Armagh and a uniform job in 1981. After another three years he was moved to CID at Craigavon and then took a demotion to constable two years later when he moved to England.

The keen football fan played for the RUC and Crusaders after starting out for Larne in the Irish League aged 16, scoring on his debut.

He said: "Sadly it was 30 years ago but it's still a good memory to have."

Old habits: Retired police on the case, 23 May 2009
Old habits: Retired police on the case The Independent

By Cahal Milmo, Chief reporter
Saturday, 23 May 2009

After a long career pursuing villains in the name of the law and public service, many might expect Britain's police officers to spend their retirement as far away as possible from the dogged pursuit of wrongdoing.

Increasingly, that is far from the case. Rather than reaching for a set of golf clubs, newly-retired detectives and their uniformed counterparts are entering the nebulous and lucrative world of private investigation to deploy their skills tracking down debtors, countering industrial espionage and accepting cases that have baffled regular law enforcement bodies.

The latter scenario is the one that currently confronts the Alpha Investigations Group, the company headed by former detectives Dave Edgar, 52, and Arthur Cowley, 57, pictured right, which has been employed since last year by the Find Madeleine Fund. The two men, who between have more than 60 years experience in the Royal Ulster Constabulary and Merseyside Police respectively, are part of a growing body of professional police officers whose skills are in demand in the private sector for work that ranges from threats to the security of large corporations to pursuing missing funds through tax havens.

The Association of British Investigators (ABI), which represents about 500 companies, estimates that 70 per cent of employees in the industry are former police officers with the remainder recruited from the legal or technology sectors.

Peter Heims, a veteran investigator with more than 50 years experience, said: "It is a natural progression for a lot of police officers. You do 20 or 25 years service and come out of the force with time and a desire for a second career. The skills you acquire as a detective or a uniformed officer are more and more in demand."

According to ABI estimates, there are about 10,000 private eyes in Britain with the £1.5bn industry growing at about five per cent a year. In the meantime, it seems customers such as Kate and Gerry McCann are reassured by the no-nonsense approach of the likes of Mr Edgar and Mr Cowley. Speaking earlier this month, Mr Edgar, a former detective inspector, said: "You don't start an investigation in Morocco or Spain or France or even Lisbon. This offence happened in Praia da Luz. That is where I think the answer is."

Warrington police officer leading hunt for Madeleine McCann, 26 May 2009
Warrington police officer leading hunt for Madeleine McCann this is Cheshire

DI Dave Edgar
DI Dave Edgar

By Nicola Davies
3:02pm Tuesday 26th May 2009

A FORMER detective who headed up the murder investigations of dad-of-three Garry Newlove and schoolgirl Shafilea Ahmed is now at the forefront of the hunt for Madeleine McCann.

Retired detective inspector Dave Edgar, who has more than 30 years' experience with Cheshire Police and the RUC (Royal Ulster Constabulary), has joined forces with fellow ex-detective sergeant Arthur Cowley from Merseyside Police, who has worked on cold case reviews of old crimes, in the fight to bring the six-year-old home.

Mr Edgar, aged 52, received a judge's commendation for his efforts in bringing Mr Newlove's killers to justice.

The duo, who now run the Alpha Investigations Group have been hired by the Find Madeleine Fund to examine missed leads, and believe five separate sightings of a suspicious man could hold the key to solving the mystery of Madeleine's disappearance.

Their theory, revealed in a Channel 4 documentary a week after the second anniversary of her disappearance on May 3, is that someone was watching the McCanns' apartment in Praia da Luz for up to a week before Madeleine disappeared.

The retired policemen have now flown to Germany after a tip-off about the whereabouts of 64-year-old Raymond Hewlett, a British paedophile wanted by police and who was living an hour away from Praia da Luz at the time Madeleine was snatched.

Mr Edgar said: "In my experience random doesn't happen. A passer-by doesn't go in and pick up a child and take it. These things are planned. This offence happened in Praia da Luz. It's a very self-contained resort, and that's where I think the answer is."

ALPHAIG LIMITED, Date of incorporation: 10 June 2009
ALPHAIG LIMITED, Date of incorporation: 10 June 2009 Companies House

ALPHAIG LIMITED, Date of Incorporation: 10/06/2009

ALPHAIG LIMITED, Certificate of incorporation: 10 June 2009

Why did Madeleine McCann detectives ask so few questions?, 15 August 2009
Why did Madeleine McCann detectives ask so few questions? Mail on Sunday
 
By TOM WORDEN, MARTIN DELGADO and ANDREW CHAPMAN
Last updated at 11:33 PM on 15th August 2009
 
Private detectives leading the hunt for Madeleine McCann faced questions last night after a Mail on Sunday investigation revealed apparent shortcomings in chasing a 'strong lead'.
 
The detectives failed to make even rudimentary inquiries before announcing a 'significant' development in the worldwide search for the six-year-old.
 
At a Press conference in London, lead investigator David Edgar appealed for help in finding a 'bit of a Victoria Beckham lookalike' whom a British tourist saw looking agitated outside a dockside restaurant in Barcelona three days after Madeleine disappeared.
 
Retired Cheshire Detective Inspector Mr Edgar said it was possible that Madeleine had been smuggled into the Spanish port by yacht from the Portuguese resort of Praia da Luz, where she vanished on May 3, 2007.
 
The agitated woman, thought to be Australian, made a remark to the tourist which suggested she was waiting for the arrival of a child.
 
Mr Edgar, 52, told the 50 journalists from several countries: 'It's a strong lead. Madeleine could have been in Barcelona by this point. The fact the conversation took place near the marina could be significant.'
 
As a result of his appeal for information and the issuing of an e-fit image of the woman, the search switched to Australia, where a woman in Sydney made a statement to police claiming to know the identity of the mystery female seen in Barcelona, although this apparently came to nothing.
 
The Mail on Sunday, however, has established that members of Mr Edgar's team who had visited Barcelona:
  • Failed to speak to anyone working at the seafood restaurant near where the agitated woman was seen at 2am.
  • Failed to ask the port authority about movement of boats around the time Madeleine disappeared.
  • Failed to ask if the mystery woman had been filmed on CCTV.
  • Knew nothing about the arrival of an Australian luxury yacht just after Madeleine vanished until told by British journalists, who gave them the captain's mobile phone number.
  • Failed to interview anyone at a nearby dockside bar where, according to Mr Edgar, the mystery woman was later seen drinking.
  • Failed to ask British diplomats in Spain for advice before or during the visit.
Also, Spanish police could not confirm that they had been contacted by the British investigators.
 
Last night Mr Edgar said: 'We are not above criticism and I take responsibility for any shortcomings. If somebody has not done what they should have done, that's my job to deal with that.'

Conversation: The bar belonging to Jose Luiz Lopez where the key conversation between a tourist and an Australian woman allegedly took place

Conversation: The bar belonging to Jose Luiz Lopez where the key conversation between a tourist and an Australian woman allegedly took place

 
He was hired by Kate and Gerry McCann after Portuguese authorities shelved their investigation last year.
 
According to the Find Madeleine Fund website, 'the majority of the fund money has been and continues to be spent on investigative work to help to find Madeleine'.
 
The McCanns, doctors living in Rothley, Leicestershire, originally hired Barcelona-based detective agency Metodo 3 to look for Madeleine in 2007 as they were convinced that Portuguese police had given up the search.
 
Metodo 3 reportedly charged £50,000-a-month and its director, Francisco Marco, was criticised after making a series of boasts about his team’s ability to find Madeleine.
 
In December 2007, he caused a sensation by claiming he knew who had kidnapped her and hoped to have her home by Christmas.
 
Metodo 3's six-month contract ran out in January 2008, although it has continued to help with the search.
 
The Mail on Sunday's inquiry by a Spanish-speaking reporter in Barcelona last week has exposed worrying gaps in the British detectives' strategy, including failure to question several people who might have vital information.

Appeal: Clarence Mitchell, left, and David Edgar with their e-fit of the 'Victoria Beckham lookalike'

Appeal: Clarence Mitchell, left, and David Edgar with their e-fit of the 'Victoria Beckham lookalike'

 
Jose Luis Lopez, owner of the El Rey de la Gamba restaurant where the mystery woman was seen, said: 'The private detectives did not make any enquiries at my restaurant.
 
'I am almost always here when the restaurant is open and my staff would have informed me if anyone had approached them about such an important matter. You are the first person to ask about this Australian woman.'
 
The manager of the bar next door, Kennedy's Irish Sailing Club, where the woman was later seen drinking, said: 'You are the first person to ask about this Australian woman or the Madeleine case. If someone came into the bar asking questions about Madeleine, I would hear about it very quickly.'
 
Barcelona port director Joan Guitart said: 'Nobody has been here asking questions about Madeleine or this Australian woman. This is the first I have heard about any possible link to the port. We would be happy to help the investigation in any way possible.'

Riddle: Was Madeleine taken to Barcelona marina?

Riddle: Was Madeleine taken to Barcelona marina?

 
A senior port authority worker added: 'There are several security cameras monitoring the port but we have not been approached about footage from the night in question.
 
'The footage is not available, as it was over two years ago that this conversation is said to have taken place. But I would have expected anyone carrying out the investigation to at least have asked about it.'
 
A source at the British Embassy in Madrid said: 'The detectives did not inform us or the consulate in Barcelona that they were coming to Spain, nor request any assistance in their investigation.'
 
Jewellery designer Hannah Tait, 35, from London, who lives on a 34ft yacht yards from El Rey de la Gamba, said: 'This place is like a small village so news travels very fast.
 
'Nobody has been here asking about Madeleine or the Australian woman.
 
'The first I heard was when I read about this on the internet. If someone had been investigating something so important here in the port, I would have heard about it.'
 
A Barcelona-based private detective with more than 20 years' experience of missing persons cases said: 'I cannot understand why the Madeleine detectives would have released this story and e-fit to the public without first making their own investigation in the port.
 
'It beggars belief that they did not even speak to the owner of the restaurant or the port authorities.'
 
One of the most significant pieces of information about a possible Barcelona connection to Madeleine's disappearance was uncovered by British journalists.
 
Later, The Mail on Sunday gained access to port records for the key dates of May 6 and 7, 2007.
 
They revealed that nine boats arrived in the marina in the 48-hour period, only one of which was unfamiliar to harbour authorities.
 
It was the £6million Sunseeker powerboat Willpower, owned by the Australian multi-millionairess Rhonda Wyllie.
 
When the then captain of the boat was eventually found, he said he had not been approached by any British detectives.
 
Although he has since been contacted by Mr Edgar's team, the investigators are in the embarrassing position of having to explain why it was left to reporters to discover the boat's presence in Barcelona and trace its former captain.
 
There is no suggestion that Mrs Wyllie, widow of property tycoon Bill Wyllie, is connected in any way with Madeleine's disappearance.
 
The Barcelona stage of the inquiry was led by Mr Edgar's assistant, former Merseyside Detective Sergeant Arthur Cowley, and an interpreter.
 
Mr Cowley, 57, is sole director of Alpha Investigation Group, based in Flintshire, North Wales.
 
He declined to discuss the details of his visit to Barcelona.
 
Asked last night why Mr Cowley and his colleague had not spoken to the port authorities, Mr Edgar said: 'My instructions were that they couldn't get through security at the marina at the time. I've got to take that at face value. We are a small team. We are dealing with finite resources and will have to manage with that.'
 
He said Mr Cowley's company had no connection with the Madeleine investigation. 'I am employed by the McCann family and I pick my staff,' he added.
 
Madeleine was nearly four when she disappeared from a holiday flat while her parents dined with friends in a nearby restaurant.
 
Last night the McCanns' spokesman Clarence Mitchell  said: 'The private investigation into Madeleine's disappearance is being conducted entirely professionally and thoroughly under the direction of Dave Edgar.

In the dark: Jose Luiz Lopez, the bar owner who was not spoken to by private detectives

In the dark: Jose Luiz Lopez, the bar owner who was not spoken to by private detectives

 
'Upon receipt of the new witness information, two members of the investigative team travelled to Barcelona to conduct preliminary inquiries during a brief initial visit.
 
'This included identifying the exact marina where the witness had been and all relevant locations within it. At that stage, the precise bar involved had not been identified by the witness. Nevertheless, inquiries were conducted at a number of bars, with staff members being interviewed.
 
'However, not all of the bars were open during the investigators' visit. Because of the transient nature of bar work, it was also found that many of the workers who were spoken to were not present at the marina in May 2007.
 
'Other relevant personnel in the area were also interviewed, although we will not discuss the detail of who was spoken to for operational reasons.
 
'The information, once gathered, including photographs, was brought back to the UK for witness confirmation. Both British and Portuguese police were kept fully informed of the investigators' visit to Spain.
 
'The news conference was then held for the simple reason that public assistance was needed once the e-fit had been drawn up from the witness account. The public appeal does not preclude further enquiries being conducted in Barcelona as appropriate.'
 
He declined to say how much the private detectives were being paid, adding: 'We will not discuss contractual matters concerning the investigation costs nor the investigator remuneration.'
 
*
 
Update to title of article:
 
So why did Madeleine McCann detectives ask so few questions after major breakthrough? Daily Mail
 
By TOM WORDEN, MARTIN DELGADO and ANDREW CHAPMAN
Last updated at 12:58 AM on 16th August 2009
 
(Body of article remains unaltered)

Madeleine McCann 'is in a secret lair', 13 September 2009
Madeleine McCann 'is in a secret lair' Belfast Telegraph

Former detective inspector Dave Edgar, hired by the McCann family to lead the investigation into the hunt for Madeleine McCann.
Dave Edgar, hired to lead the investigation into the hunt for Madeleine McCann.

Ulster detective leading the hunt on why he thinks she's being held captive just like Jaycee Dugard

By Aaron Tinney
Sunday, 13 September 2009


The Ulster detective leading the search for Madeleine McCann today reveals his most chilling theories yet, exclusively to Sunday Life. Hardened ex-RUC cop Dave Edgar told us he is convinced that little Maddie is imprisoned in a hellish lair – just like kidnapped sex slave Jaycee Lee Dugard.

He insisted the "back from the dead" reappearance of Jaycee – and the cases of Austrian cellar girls Elisabeth Fritzl and Natascha Kampusch – confirmed his suspicion.

And despite fresh leads taking his probe to Australia and Barcelona, the east Belfast man insists the golden-haired youngster is being held just 10 miles from where she was snatched in Praia da Luz two years ago.

But he warned that the sprawling wilderness where he believes Maddie is languishing is almost impossible to search completely.

Belfast-born Dave revealed the grim theories when he opened his case files to us.

We spent the day at the Cheshire office he uses to conduct the world's biggest missing person case.

Sunday Life can now lift the lid on how his Alpha Investigations Group private eye agency really operates and what it is like to search for the world's most famous missing youngster, who disappeared two years, four months and 10 days ago.

When we visited Dave's headquarters, US kidnap victim Jaycee Lee Dugard had still not been rescued and the world had long forgotten her name.

But even then Dave said he was convinced Maddie was entombed by an abductor in a cellar or dungeon, like Austrian cellar victims Natascha Kampusch and Elisabeth Fritzl.

"Maddie is most likely being held captive, possibly in an underground cellar, just like Natascha or Elisabeth, and could emerge at any time," he told us.

Days later, news broke that tormented Jaycee had been freed from the foul compound where she was abused for 18 years by monster Phillip Garrido. Dave simply said: "This just supports my theory that Maddie is alive and imprisoned."

There was further backing for his theory when American boy Ricky Chekevdia was found hiding with his mother in a tiny "secret room" two years after he was kidnapped while caught in a custody battle.

Former detective inspector Dave, who grew up on Belfast's Woodstock Road, was drafted in by Kate and Gerry McCann last November after Spanish investigators failed to find new leads.

Renowned for leaving no stone unturned in his UK murder investigations, Dave now spends his days with a four-strong team probing every lead that comes in to his office.

His partner Arthur Cowley has more than 30 years' policing experience in north-west England – and the pair are backed up by a translator and an ex-police administrator.

They have sifted through thousands of emails, answerphone messages and letters to get that one breakthrough lead.

Last month, the information took Dave's probe to Australia and Barcelona to track a 'Victoria Beckham lookalike' suspect, who spoke with an Australian or New Zealand accent.

She was seen asking two British tourists at a marina in Barcelona if they were there to deliver her "new daughter" – three days after Maddie disappeared.

But he told us he is now back to focusing on his original theory.

He still feels Maddie was snatched by a man spotted by the McCanns' friend Jane Tanner, one of the so-called 'Tapas Seven' who dined with them the night Maddie went missing.

Dave said: "Jane is a very reliable witness and there were other sightings of this man, who Jane saw carrying a little girl in a blanket, in the days leading up to the disappearance."

He feels this is the lone prowler who has Maddie stashed in a cellar or dungeon in the lawless villages around Praia da Luz.

But Dave warned: "This rural, sprawling terrain makes it extremely difficult to search. You could quite easily keep a child there for years and no-one else would know.

"The person who has Maddie is most likely a paedophile or a person so desperate for a family they were willing to kidnap for it.

"I wouldn't like to speculate on what is happening to her."

Dave says the region where he feels Maddie is being held has attracted many strange characters, including convicted sex offenders.

"I don't want to generalise or make gross exaggerations, but there are people there living on the edges of society," Dave said.

He added there were as many as nine child sex attacks in the area round Praia da Luz from 2005 to 2007 and the victims included British kids.

Some happened as close as 20 miles from Praia da Luz, and six of them were on girls between the ages of three and 10.

He is now investigating leads on six child sex offenders, 78 other rapists and sex attackers and 22 vagrants.

In a glimmer of hope, Dave said: "The key thing is no body has been found.

"When paedophiles kill, they often dump the body nearby, and this isn't the case here.

"Even if Maddie had been dumped in the sea nearby the resort, the ocean often gives up his victims.

"Until I find evidence that she is dead, I will keep going."

And his plans for the future?

"I don't know. We could still be sitting here in 10 years.

"If Maddie is being held, she may be being brought up to speak a different language and not even remember her own name or where she was from.

"All we can do is try and keep public awareness high – and try and reach as much of that mountainous region outside the resort as we can."

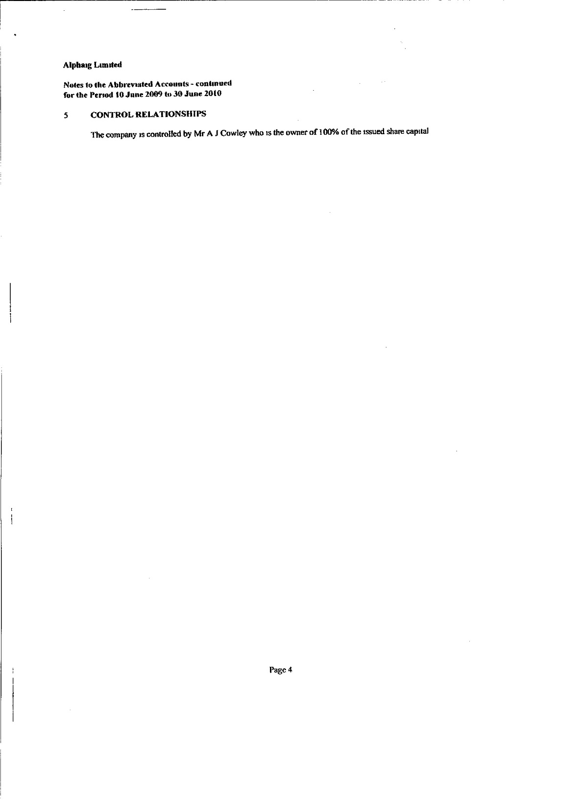
ALPHAIG LIMITED, Abbreviated Accounts: 10 June 2009 to 30 June 2010, 31 January 2011

Abbreviated accounts for small companies and limited liability partnerships Business Link

The abbreviated accounts of a small company or limited liability partnership (LLP) don't have to include the full balance sheet, profit and loss account or director's report normally required by Companies House.

But you must include:
  • An abbreviated balance sheet and notes explaining in more detail the make-up of the figures in the balance sheet.
  • A special auditor's report - unless you're also claiming an audit exemption. If you are claiming an audit exemption, you are not required to appoint an auditor.

Alphaig Limited Accounts, cover page
Cover page

Alphaig Limited Accounts, cover page
Contents page

Alphaig Limited Accounts, page 1
Page 1

Alphaig Limited Accounts, page 2
Page 2

Alphaig Limited Accounts, page 3
Page 3

Alphaig Limited Accounts, page 4
Page 4

With thanks to Nigel at McCann Files

TO HELP KEEP THIS SITE ON LINE PLEASE CONSIDER

Site Policy Sitemap

Contact details

Website created by © Pamalam