The purpose of this site is for information and a record of Gerry McCann's Blog Archives. As most people will appreciate GM deleted all past blogs from the official website. Hopefully this Archive will be helpful to anyone who is interested in Justice for Madeleine Beth McCann. Many Thanks, Pamalam

Note: This site does not belong to the McCanns. It belongs to Pamalam. If you wish to contact the McCanns directly, please use the contact/email details campaign@findmadeleine.com    

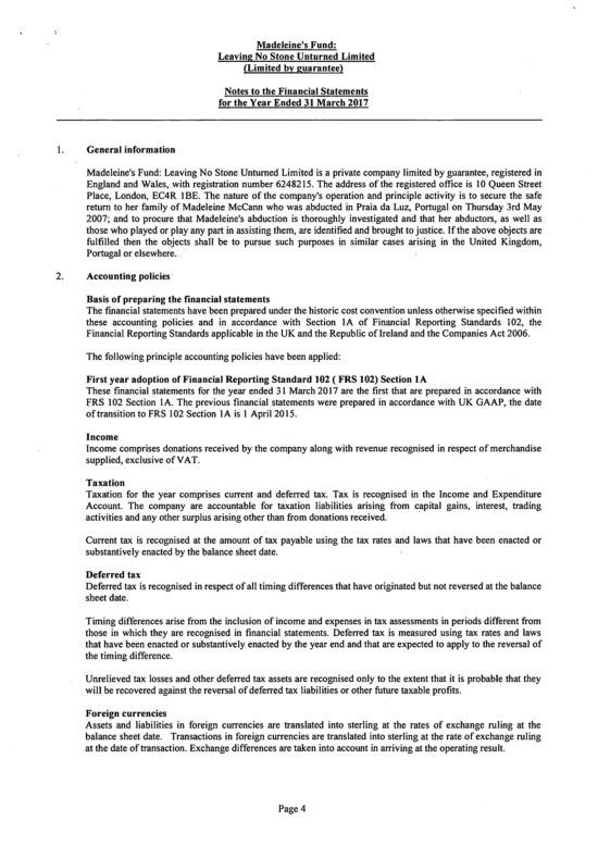
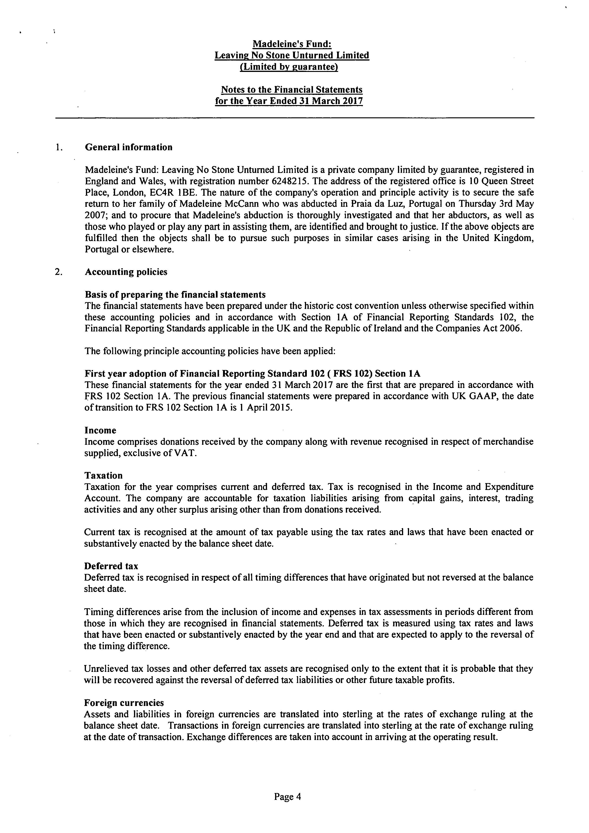
Madeleine Fund Accounts For 31 March 2017

HOMEPAGE PDF INDEX ENID O'DOWD MADELEINE FUND INDEX

Page 01

Page 02
Page 03

Page 04
Page 05
Page 06
Page 07
Page 08

TO HELP KEEP THIS SITE ON LINE PLEASE CONSIDER

Site Policy Sitemap

Contact details

Website created by © Pamalam